پهنه ايران - زمين در بخش ميانى کمربند کوهزايى آلپ - هيمالیا، يکى از لرزه‌خيزترين مناطق جهان به شمار مى‌رود که از جنوب با صفحه عربستان و هند، و از شمال با صفحه توران و آسیای مرکزی تلاقی دارد. ويژگیهاى زمين‌ساختى اين پهنه ساختارى، سبب تجمع تنش در بخش‌هايى از فلات ايران زمين مى‌گردد. خطر رخداد زلزله‌ها در ایران یکنواخت نیست. البرز، محل برخورد صفحه ایران و اروپا است که این برخورد و فشار باعث تشکیل و فعالیت گسل‌های فشاری و کوهزایی در این محدوده می‌شود. منطقه زاگرس و کپه داغ نیز محل برخورد و فشار صفحه عربستان به صفحه ایران است که موجب فعالیت لرزه‌ای این منطقه می‌باشد.

زلزله، رویداد طبیعی آزاد شدن انرژی زمین ناشی از گسیختگی سریع در گسل‌های پوسته زمین است که به دلیل ماهیت تصادفی آن، امکان تعیین وقوع زلزله‌های آینده وجود ندارد و تنها، روش های احتمالاتی می‌توانند تا حدی اثرات زلزله را پیش‌بینی کنند. تحلیل خطر زلزله مجموعه‌ای از روش‌های تخمینی بر اساس رخداداهای گذشته است که می‌تواند به صورت کمی، اثرات و پارامترهای جنبش‌های آینده زمین در ساختگاه را برآورد کند و یکی از پایه‌های اصلی طراحی لرزه‌ای سازه‌ها، تأمین امنیت زیرساخت‌های کشور، تحلیل ریسک، تخمین خسارات جانی و مالی و هزینه‌های بیمه‌ای مرتبط محسوب می‌شود.

دو روش عمومی برای برآورد خطر جنبش‌های زلزله وجود دارد: روش تعینی (DSHA) و روش احتمالاتی (PSHA)

روش تعینی
 

در روش تعینی یا یقینی، مقدار شتاب متناظر با بدترین زلزله حوالی اطراف سایت در نظر گرفته می‌شود و تعیین جنبش‌های قوی زمین‌، فقط یک خروجی دارد. در این روش سعی می‌شود تا مقدار جنبش قوی زمین متناظر با وقوع یک زلزله در فاصله و در نقطه‌ای خاص برآورد شود. این روش، توانایی در نظر‌گرفتن عدم قطعیت را ندارد و وازه خطر نمی تواند به روش تعینی نسبت داده شود.

روش احتمالاتی

این روش احتمال آنکه جنبش های قوی زمین از مقدار تعیین شده فراتر رود را در بازه زمانی مشخص ارائه میکند. به عبارتی دیگر، فقط احتمال یک بار فراگذشت از شتاب عنوان شده در سطوح خطر متفاوت‌، اهمیت دارد. برای به دست آوردن جنبش قوی زمین در روش احتمالاتی تنها بدترین سناریو مدنظر قرار نمی‌گیرد‌، بلکه تمام زلزله‌های اطراف سایت به صورت تجمعی و ترکیبی بررسی می‌شوند. در روش احتمالاتی، طول عمر سازه و مقدار جنبش قوی زمین مشخص می شود و احتمال وقوع این شتاب و فراگذشت از آن به دست می آید.

الف. شرح خدمات مطالعات تحلیل خطر زمین‌لرزه، عبارتست از:

مطالعه تكتونيك و سايزموتكتونيك گستره

معرفی چشمه‌های لرزه‌زای فعال گستره مورد مطالعه

کمی سازی توان لرزه‌خيزی چشمه‌های فعال

    ب. تحليل خطر زمين‌لرزه

    برآورد خطر زمينلرزه به روش احتمالاتی در سطوح مختلف طراحی
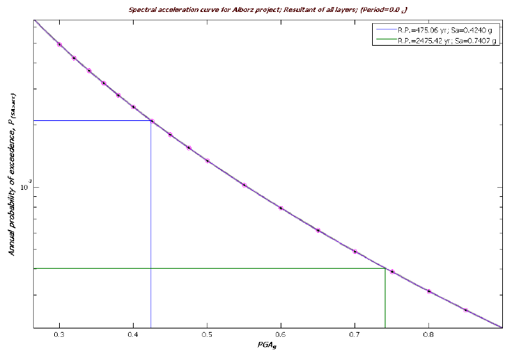
    محاسبه منحنی خطر شتاب طیفی زمینلرزه در محل ساختگاه
     
    محاسبه منحنی طیف خطر یکنواخت در محل ساختگاه
     
    ارائه طيف پاسخ ساختگاه
    ارائه طيف طرح ساختگاه
    یکی از مهارتهای تخصصی گروه سازان برآورد دقیق خطر زمین‌لرزه با استفاده از نرم‌افزار انحصاری خود میباشد.

    تمامی حقوق این وب‌سایت محفوظ و در اختیار شرکت مقاوم المان‌ سازان می‌باشد.